O-ROA水平我们看的是公司在某一年的情况,是将公司的O-ROA进行横向对比。除了分析公司与对标企业、行业相比O-ROA表现如何外,还要看看其历年的变化趋势,即将企业与自身进行纵向对比,看一看其O-ROA是在逐年改善提高还是有所下降。
经营资产收益率(O-ROA)的变动趋势,主要是反映经营资产回报的变动情况,通过将经营资产收益率(O-ROA)分解为经营利润率、经营资产周转率、营运资产周转率和长期经营资产周转率,分析经营资产回报变动的原因。
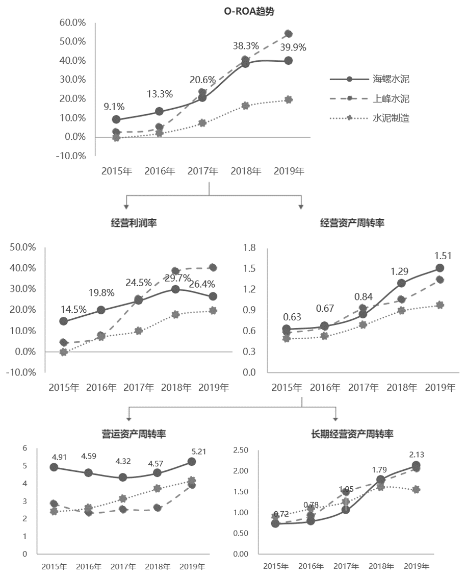
以海螺水泥为例,图8-31显示了海螺水泥、上峰水泥,以及水泥制造行业在2015—2019年的经营资产收益率(O-ROA)的变动趋势情况。

图8-31 2015—2019年海螺水泥、上峰水泥、水泥制造行业O-ROA变动情况
2015—2019年,海螺水泥经营资产收益率(O-ROA)逐年提升,与前四年平均值相比,2019年公司O-ROA上升20个百分点,只不过与上峰水泥相比,上峰水泥的经营资产收益率也在逐年增长且增长速度更快,而带动上峰水泥O-ROA增长的主要动力是其经营利润率的快速增长。

不详